Question bank

Chapter-1   Daffodils
Q-1 Fill in the blanks
(a) A poet could not but be gay, in such a ________ company.
(b) In vacant or in pensive mood, they flash upon that ________ eye
(c) Continuous as the stars that shine, and twinkle on the ________ .

(d) The waves beside them danced; but they outdid the ________ waves in glee.

Q-2

Underline the Collective noun in each sentence.

(a) The whole family went out for dinner.

(b) The music band played the music.

(c) Our nation is free and we are happy.

(d) A flock of birds flew towards the North Pole.

(e) Our staff will be present to assist you.

(f) Our team won the championship.

(g) The crowd got confused after hearing the announcement.

(h) His group got the most points for cleanliness.

(i) Our job is to keep the audience happy.

(j) She lives in a posh neighbourhood.

Q-3 True Or False
(a) The clouds were floating only over hills.
(b) The daffodils were golden in colour.
(c) The poet saw about ten thousand daffodils at a glance.
(d) The memory of the daffodils flashes in the mind of the poet.
Q-4 Answer the following questions
(a) Where did the poet wander?
(b) What did he see all at once?
(c) What were the daffodils doing?
(d) Why does the poet's heart fill with pleasure?
Q-5 Complete each sentence by choosing the correct collective noun from the box.
(a) The ______________ of elephants stomped through the water hole.
(b) A ______________ of sheep was happily grazing in the field.
(c) All night we could hear the ______________ of wolves howling.
(d) We were in awe as we watched the ______________ of whales swimming
(e) The ______________ of lions slept all day on the African plains.
(f) An enormous ______________ of bees attacked the boys.
(g) Our dog has just had a ______________ of seven puppies.
(h) A ______________ of fish is swimming in shallow water
(i) In the jungle, we could see a ______________ of monkeys swinging in the trees
(j) A ______________ of dolphins is playing in the pool.
Multiple Choice Questions
Q-1 True Or False

(i)

(a) The clouds were floating only over hills.

(ii)

(b) The daffodils were golden in colour.

(iii)

(c) The poet saw about ten thousand daffodils at a glance.

(iv)

(d) The memory of the daffodils flashes in the mind of the poet.
Q-2 Fill in the blanks

(i)

(a) A poet could not but be gay, in such a ________ company.

(ii)

(b) In vacant or in pensive mood, they flash upon that ________ eye

(iii)

(c) Continuous as the stars that shine, and twinkle on the ________ .

(iv)

(d) The waves beside them danced; but they outdid the ________ waves in glee.

Q-3 Answer the following questions

(i)

(a) Where did the poet wander?

(ii)

(b) What did he see all at once?

(iii)

(c) What were the daffodils doing?

(iv)

(d) Why does the poet's heart fill with pleasure?
Q-4 Complete each sentence by choosing the correct collective noun from the box.

(i)

(a) The ______________ of elephants stomped through the water hole.

(ii)

(b) A ______________ of sheep was happily grazing in the field.

(iii)

(c) All night we could hear the ______________ of wolves howling.

(iv)

(d) We were in awe as we watched the ______________ of whales swimming

(v)

(e) The ______________ of lions slept all day on the African plains.

(vi)

(f) An enormous ______________ of bees attacked the boys.

(vii)

(g) Our dog has just had a ______________ of seven puppies.

(viii)

(h) A ______________ of fish is swimming in shallow water

(ix)

(i) In the jungle, we could see a ______________ of monkeys swinging in the trees

(x)

(j) A ______________ of dolphins is playing in the pool.
Q-5 

Underline the Collective noun in each sentence.

(i)

(a) The whole family went out for dinner.

(ii)

(b) The music band played the music.

(iii)

(c) Our nation is free and we are happy.

(iv)

(d) A flock of birds flew towards the North Pole.

(v)

(e) Our staff will be present to assist you.

(vi)

(f) Our team won the championship.

(vii)

(g) The crowd got confused after hearing the announcement.

(viii)

(h) His group got the most points for cleanliness.

(ix)

(i) Our job is to keep the audience happy.

(x)

(j) She lives in a posh neighbourhood.

Q-6 The beauty of the daffodils was far more enchanting than that of the

(i)

waves

(ii)

sky

(iii)

clouds

(iv)

flowers
Q-7 The poet could not take his eyes off the golden

(i)

daffodils

(ii)

stars

(iii)

clouds

(iv)

sunshine
Q-8 The poet saw that the daffodils were swaying in the

(i)

happiness

(ii)

breeze

(iii)

daylight

(iv)

sunlight
Q-9 When the poet is lonely, the memory of the daffodils would fill his mind with immense

(i)

thoughts

(ii)

pleasure

(iii)

dislike

(iv)

likeness
Chapter-2   Nandu and the Charcoal
Q-1 Fill in the blanks
(a) Nandu did not like to go to _____________ .
(b) Nandu obediently threw the charcoal into the _____________ .
(c) Due to his stupid and silly activities, Nandu's parents were much _____________ about him.
d) You have spoilt a bucketful of milk with this _____________ .
Q-2 Match the subject and the predicate to make a sentence.
Q-3 True Or False
(a) Nandu would pass time doing silly and stupid activities.

(b) Nandu saw a piece of charcoal while going to school.

(c) Nandu wanted to make the charcoal white.
(d) The milkman asked Nandu to scrub the charcoal with soap and water.
Q-4 Answer the following questions.
(a) What do you know about Nandu?
(b) What did Nandu find on the roadside one day?
(c) Why did Nandu bring a bucket of milk from the milkman?
(d) Why did Nandu start rubbing the charcoal on the grinding stone?
Q-5

Underline the subject and encircle the predicate in each of the following sentences.

(a) I want a new car.

(b) James is nice.

(c) The sun is moving.

(d) Max wrote the letter.

(e) The letter was written by Parul.

(f) The farmers are ploughing the field.

(g) The storm clouds are getting darker.

(h) Dogs, cats and turtles make the best pets.

(i) Only I am able to know what I am thinking.

(j) His broken leg will heal in three months.

Multiple Choice Questions
Q-1 True Or False

(i)

(a) Nandu would pass time doing silly and stupid activities.

(ii)

(b) Nandu saw a piece of charcoal while going to school.

(iii)

(c) Nandu wanted to make the charcoal white.

(iv)

(d) The milkman asked Nandu to scrub the charcoal with soap and water.
Q-2 Fill in the blanks

(i)

(a) Nandu did not like to go to _____________ .

(ii)

(b) Nandu obediently threw the charcoal into the _____________ .

(iii)

(c) Due to his stupid and silly activities, Nandu's parents were much _____________ about him.

(iv)

d) You have spoilt a bucketful of milk with this _____________ .
Q-3 Answer the following questions.

(i)

(a) What do you know about Nandu?

(ii)

(b) What did Nandu find on the roadside one day?

(iii)

(c) Why did Nandu bring a bucket of milk from the milkman?

(iv)

(d) Why did Nandu start rubbing the charcoal on the grinding stone?
Q-4 Match the subject and the predicate to make a sentence.
Q-5 Finally, Nandu said that the black charcoal had indeed turned

(i)

black

(ii)

white

(iii)

blue

(iv)

brown
Q-6 Nandu started rubbing the charcoal on the

(i)

grinding stone

(ii)

wall

(iii)

stone

(iv)

grinder
Q-7 A woman who came to fetch water, watched Nandu with

(i)

amazement

(ii)

sorrow

(iii)

sadness

(iv)

courage
Q-8 Nandu saw the charcoal burn and turn into white

(i)

paper

(ii)

coal

(iii)

rubber

(iv)

ash
Chapter-3   The Invention of the Aeroplane
Q-1 True Or False
(a) Father brought an aircraft for Orville and Wilbur as a gift.
(b) The flight of the toy glider was an important event in the brothers' life.

(c) A large crowd gathered to welcome the brothers on their arrival at Dayton.

(d) Both Wilbur and Orville loved to work with machines and tools.
Q-2

Read the sentences and write their types.

(a) The blue paint dripped on the floor. ___________________________

(b) Where does Ashok live? ___________________________

(c) Put these documents on my desk. ___________________________

(d) That is an excellent idea! ___________________________

(e) Why did you move my chair? ___________________________

(f) Mom poured cereal and milk into her bowl. _________________________

(g) Ajay, hand me the blue folder. _________________________

(h) What a beautiful garden it is! _________________________

(i) Berlin is the capital of Germany. _________________________

(j) Do your duty sincerely. _________________________

Q-3 Fill in the blanks
(a) Wilbur and Orville's father owned a _____________.
(b) They worked at the printing press and learnt a lot about __________.
(c) Wilbur was _____________ years older than Orville
(d) They made their first glider and took it to __________ in North Carolina.
Q-4 Answer the following questions.
(a) Name the two brothers who were anxious about the gift that their father would bring for them.
(b) Where did the two brothers work for long ten years and what did they learn?
(c) What dream did the brothers have in their mind?
(d) How did people congratulate the two brothers when they returned from Kitty Hawk? .
Q-5 Read each sentence and add the correct punctuation mark. Then write the kinds of sentences they are.
(a) Have you met my friend Julie
(b) I want to have a bowl of soup for lunch
(c) Can you make it to my birthday party
(d) No I am unable to help you
(e) Isn't this a beautiful night
(f) That is a very gentle pony
(g) When is your birthday
(h) Raja ate a slice of pizza for lunch
(i) Go and help the old man cross the road
(i) Hurray Jimmy's team won
Multiple Choice Questions
Q-1 When Orville was twenty, both the brothers opened a

(i)

printing press

(ii)

garage

(iii)

cycle shop

(iv)

workshop
Q-2 The brothers thought of a dream — the dream of making an

(i)

aeroplane

(ii)

airliner

(iii)

engine

(iv)

instrument
Q-3 They made changes in the engine, then in the glider, then again in the

(i)

airplane

(ii)

glider

(iii)

engine

(iv)

jet
Q-4 Kitty Hawk had long stretches of sand dunes and was an ideal place to try out the

(i)

glider

(ii)

cycle

(iii)

press

(iv)

aeroplane
Chapter-4   Florence Nightingale
Q-1 True Or False
(a) Florence was extraordinarily kind to the sick.
(b) The hospital in Scutari was in a good state.

(c) As a child, Florence played nursing games with her dolls.

(d) Florence told her parents that she wanted to work as a soldier.
Q-2

Put in the verbs in the brackets in the correct tense.

(a) The sun ____________ in the east. (to rise)

b) I ____________ for my friend for two hours. (to wait)

(c) Look! It ____________ , so we can't ____________ to the park. (to rain) (to go)

(d) We ____________ TV when it started to rain. (to watch)

(e) After Raju ____________ the film on TV, he decided to buy the book. (to see)

(f) Wait for a minute; I ____________ this box for you. (to carry)

(g) While the doctor ____________ Mr Sen, his son ____________ outside this morning. (to examine) (to wait)

(h) There are a lot of clouds! It ____________ soon. (to rain)

(i) I ____________ to visit you yesterday, but you ____________ not at home. (to want) (to be)

(j) Since 2011 they ____________ their son every year. (to visit)

Q-3 Fill in the blanks
(a) She went to Scutari to nurse the wounded and sick ____________.
(b) The medicines reached the ____________ at the right time.
(c) Soldiers were lying outside on the snow-covered ____________.
(d) She came to know that everything she needed was there, but was locked in a big ____________.
Q-4 Answer the following questions.
(a) Why were Florence's parents shocked?
(b) Why was the hospital in Scutari in a bad state?
(c) What did Florence do to get all the stuffs for the soldiers in Scutari?
(d) Why did the soldiers call Florence 'The Lady with the Lamp'?
Q-5

Choose the correct verb given in the bracket.

(a) The earth ____________ round the sun. (move, moves, moved)

(b) Who ____________ food in your family when your mom is away? (cook, cooked, cooks)

(c) Where is John? He ____________ his car in the garage. (repairs, is repairing, repaired)

(d) I love this film. I ____________ it four times. (see, have seen, is seeing)

(e) Have you visited Goa? “Yes, I ____________ Goa two years ago.” (visited, visiting, have visited)

(f) She ____________ the roof of the bungalow. (is cleaning, clean, was cleaned)

(g) I did not do the homework as I ____________ yesterday. (am absent, was absent, is absent)

(h) My brother ____________ me a gift tomorrow. (bring, was bringing, will be bringing)

(i) Where is he? I ____________ for him since 3 o' clock. (was waiting, have been waiting, had been waiting)

(j) I am not sure if they ____________ to visit us today. (coming, were coming, are coming)

Multiple Choice Questions
Q-1 Where did Florence persuade her parents to let her go to train as a nurse?

(i)

Germany

(ii)

London

(iii)

England

(iv)

France
Q-2 When Florence told her parents that she wanted to work as a nurse, they were

(i)

shocked

(ii)

upset

(iii)

happy

(iv)

amazed
Q-3 The soldiers had neither sheets nor

(i)

pillows

(ii)

blankets

(iii)

nets

(iv)

towels
Q-4 The Crimean War was fought between England and

(i)

Russia

(ii)

France

(iii)

Germany

(iv)

Japan
Chapter-5   Laziness Doesn’t Pay
Q-1 True Or False
(a) The people of the kingdom were not lazy.
(b) Wherever the king went around, he found the streets cleaned.
(c) The king rode his horse and went to one of the busiest streets in the city.
(d) On reaching the spot, the king got down from his carriage and walked up to the stone.
Q-2 Answer the following questions
(a) Why was the king not pleased with his people?
(b) What did the king want to teach his people?
(c) Where and why did the king get a pit dug?
(d) Why was the king ashamed of his people?
Q-3 Use present perfect continuous tense to fill in the blanks:
(a) He ___________________ (write) letters all morning.
(b) Promod is getting fatter because he ___________________ (eat) too much.
(c) My mother ___________________ (peel) the potatoes all afternoon
(d) Rosy ___________________ (attend) a cookery course since March.
(e) How long ___________________ (learn) English?
(f) Where are my eye glasses? I ___________________ (look) for them for an hour.
(g) Charles ___________________ (escape) from the police for years.
(h) How long ___________________ (use) a computer?
(i) It ___________________ (rain) for six hours.
(j) She ___________________ (earn) quite a lot of money for the last two years.
Q-4 True Or False
(a) The people of the kingdom were not lazy.
(b) Wherever the king went around, he found the streets cleaned.
(c) The king rode his horse and went to one of the busiest streets in the city.
(d) On reaching the spot, the king got down from his carriage and walked up to the stone.
Q-5 Fill in the blanks
(a) The king got a pit dug in the __________ of the road.
(b) Wherever the king went, he found the streets __________.
(c) The king was sad to see the __________ still there
(d) The people of the kingdom were very __________.
Q-6 Fill in the blanks by putting the correct words from the box
(a) They walked down to the _____________.
(b) I am really lucky as I never put on _____________.
(c) Two officers in _____________ clothes told me to get out of the car.
(d) In chess, a _____________ is a piece which is shaped like a horse's head.
(e) He _____________ through the pages slowly and carefully.
(f) Be _____________ that you get your daily quota of calcium.
(g) The fighting began in the late afternoon and continued all _____________.
(h) We will have to _____________ a week or so after the exams to know the result.
Q-7

Use present perfect tense after ‘because’.

(a) He can't walk very fast. (hurt/leg)

(b) I can't get in. (lose/key)

(c) I know that story very well. (see the film)

(d) I can't post the letter. (not put/stamp/on it)

(e) He can't stand up. (eat too much)

(f) They can't go on holiday. (not save/money)

Multiple Choice Questions
Q-1 The king looked after his people very

(i)

soon

(ii)

well

(iii)

hardly

(iv)

kindly
Q-2 Many others also passed by, but none stopped to roll the stone

(i)

left

(ii)

away

(iii)

behind

(iv)

upright
Q-3 The people hung their heads in

(i)

shame Using Grammar

(ii)

glory

(iii)

anger

(iv)

defeat
Q-4 In the evening, the king arrived at the

(i)

spot

(ii)

pit

(iii)

road

(iv)

corner
Chapter-6   Whatever God Does is Best
Q-1 Fill in the blanks
(a) Trouble and _____________ sometimes comes on our way.
(b) God is the keeper of our _____________ .
(c) All things are right on the _____________ of God
(d) We should always remember that there is a brighter day in God's great _____________ plan.
Q-2 Use the past continuous tense form of the verbs in the brackets to complete the sentences .
(a) Julie _____________ (sleep) at three o' clock.
(b) When you called me, I _____________ (watch) TV.
(c) Yesterday at 10.30 pm, Jack _____________ (sleep)
(d) Sunil _____________ (talk) on the phone when his father came in.
(e) She _____________ (cross) the road when the car hit her
(f) Priya lost her purse when she _____________ (go) home.
(g) When they were out, it _____________ (rain).
(h) I didn't help him because I _____________ (write) the exam.
(i) When I met Peter, he _____________(shop).
(j) You _____________ (study) when we arrived.
Q-3 True Or False
(a) God always does good for us.
(b) We should keep faith in God sometimes.
(c) All things are right on God's schedule.
(d) Whatever God does is not always best.
Q-4 Answer the following questions.
(a) When should we remember that there is a brighter day?
(b) What does God do for us?
(c) Who is the keeper of our soul?
(d) How is God working upon His great plan?
Q-5

Use past continuous tense to rewrite these sentences.

(a) We / talk / on the phone / late at night.

(b) My sister / travel / to the United States.

(c) We / visit / the Taj Mahal / Agra.

(d) Some women / dance / temple.

(e) We / eat / mangoes / grove.

Multiple Choice Questions
Q-1 By His actions, God is drawing us closer to His

(i)

side

(ii)

way

(iii)

road

(iv)

turn
Q-2 We should remember that everything has a

(i)

purpose

(ii)

light

(iii)

order

(iv)

friend
Q-3 All thing are right on God's

(i)

schedule

(ii)

boon

(iii)

path

(iv)

lesson
Q-4 Everything in this universe is under the _______________ of God.

(i)

book

(ii)

copy

(iii)

control

(iv)

chapter
Chapter-7   Everything Happens for Our Own Good
Q-1 Fill in the blanks
(a) The minister's habit of saying that 'Everything happens for our own good' irritated the king ______________.
(b) One day, the king decided to go hunting in the ______________.
(c) He decided to take some rest under a ______________ shady tree.
(d) The lion ______________ him from head to toe and then walked away.
Q-2 Put the verbs into the correct forms of simple future tense.
(a) You (be) ________________ very happy.
(b) You (get) ________________ a lot of money.
(c) You (buy) ________________ a beautiful house
(d) Your friends (envy) ________________ you.
(e) You (meet) ________________ a beautiful girl.
(f) You (marry) ________________ her.
(g) You and your wife (travel) ________________ around the world
(h) People (serve) ________________ you.
(i) They (not / refuse) ________________ to make you happy.

(j) But all this (happen / only) ________________ when you are 70 years old.

Q-3 True Or False
(a) There was a minister in the kingdom who had a strange habit.
(b) One day, the king tripped on a big stone in the palace garden and fell down.
(c) The king was so angry that he ordered his servants to kill the minister.
(d) The minister was not worried at all.
Q-4 Fill in the blanks
(a) The minister's habit of saying that 'Everything happens for our own good' irritated the king ______________.
(b) One day, the king decided to go hunting in the ______________.
(c) He decided to take some rest under a ______________ shady tree.
(d) The lion ______________ him from head to toe and then walked away.
Q-5 Answer the following questions.
(a) What was the strange habit of one of the ministers?
(b) When did the king decide not to release the minister for a long, long time?
(c) Why did the lion not attack the king in the jungle?
(d) What did the minister reply when the king asked him how it was good for him to be imprisoned?
Q-6

Underline the verbs in the sentences and change them into simple future tense.

(a) Raja runs a race.

(b) Vindoo carries the basket to the store.

(c) Priyanka writes a letter to her mother

(d) Suraj went to the school yesterday.

(e) My father brought some sweets for me.

(f) The dog barks at the stranger.

(g) We go to school every day.

Multiple Choice Questions
Q-1 The minister did not have any

(i)

disease

(ii)

wound

(iii)

pain

(iv)

injury
Q-2 The king immediately went to the prison and ______________ the minister

(i)

released

(ii)

caught

(iii)

took

(iv)

carried
Q-3 It is a known fact that a lion will not touch anyone who is hurt or ______________

(i)

wounded

(ii)

bleeding

(iii)

upset

(iv)

injured
Q-4 In his panic, the king forgot that he was carrying

(i)

gun

(ii)

weapons

(iii)

knife

(iv)

arrow
Chapter-8   Trees: Our Best Friends
Q-1 Fill in the blanks
(a) Forests give shelter to ____________ wild animals
(b) Trees replace the oxygen that gets used up when living things breathe or ____________ anything.
(c) The children play around the trees and tired travellers ____________ under them.
(d) To plant new trees all over the country, a festival is held every year, called _____________________ .
Q-2 Complete the sentences by putting the words from the box.
(a) I don't care ____________ you are happy or sad.
(b) The patient was very ____________ when the doctor saw him last.
(c) This ____________ is very complicated.
(d) I know that you are trying to ____________ my attention towards you.
(e) Let us find an ____________ to this riddle.
(f) Please ____________ your book on page number eight.
(g) You are standing ____________ and I was searching for you all over the house.
(h) If you have finished your homework, why don't you ____________ your books?
Q-3 True Or False
(a) By holding soil together, trees save it from being washed away by showers
(b) When we think of trees, we think of their cool shade.
(c) Trees are useful as they give us fruits, furniture and paper only.
(d) Trees provide us with many useful things.
Q-4 Answer the following questions.
(a) How are trees important to us?
(b) How do trees support the life of living things?
(c) How do trees cause rainfall?
(d) How does a great part of our forest resources get lost?
Q-5 Choose the correct adjectives to fill in the blanks.
(a) You have a _______ dog. (cut/cute)
(b) There are _______ mangoes in the bag. (yellow/white)
(c) Who made the _______ drawings? (crying/colourful)
(d) You have a _______ sister. (happy/high)
(e) The _______ chicken crossed the road. (tall/little)
(f) I have _______ sisters. (two/state)
(g) The _______ football is new. (grass/pink)
(h) My _______ friend plays cricket. (tall/far)
(i) I have _____ members of my family coming to my party. (ten/man)
(j) The _______ bird flies very high. (wing/blue)
Q-6

Read each sentence and write the correct word on the blank.

(a) Julie has a blue bike.
_______ is the adjective. It describes the _______

(b) Tim is the tallest boy I know.
_______ is the adjective. It describes the _______.

(c) The sunlight was very bright.
_______ is the adjective. It describes the _______.

(d) Chennai is a very hot city.
_______ is the adjective. It describes the _______.

(f) This is the best book I have read.
_______ is the adjective. It describes the _______.

(g) The problem is very easy.
_______ is the adjective. It describes the _______.

(e) The girl was so happy.
_______ is the adjective. It describes the _______.

Multiple Choice Questions
Q-1 Tigers and lions also feed on deer which eat

(i)

vegetable

(ii)

sweet

(iii)

leaves

(iv)

plants
Q-2 Trees replace the oxygen that gets used up when living things breathe or burn

(i)

anything

(ii)

eat

(iii)

burn

(iv)

breathe
Q-3 As human beings do, trees can also

(i)

feel

(ii)

see

(iii)

sleep

(iv)

move
Q-4 Trees are of different shapes and

(i)

colours

(ii)

sizes

(iii)

orders

(iv)

forms
Chapter-9   The Other Boot
Q-1 True Or False
(a) Mr Chang did not have a wife and children.
(b) Mr Chang promised the old lady to let her sleep peacefully at night.
(c) An old lady lived just above Mr Chang's floor
(d) Mr Chang used to take off his boots and keep them on the floor without making any sound.
Q-2 Choose a suitable adverb from the box below to complete each sentence.
(a) The swan swam ______________ down the river.
(b) The two children argued ______________ .
(c) The two children whispered ______________ .
(d) Jack slipped and fell ______________ .
(e) The man yelled ______________ .
(f) I spoke ______________ to the visitor
(g) The girl stood up to the bully ______________ .
(h) The police stopped the man who drove ______________ .
(i) The man was dressed ______________ .
(j) The knight fought the dragon ______________ .
Q-3 Fill in the blanks
(b) Just then, Mr Chang remembered the promise he made to the old lady in the ___________.
(c) Mr Chang woke up in the morning and remembered that he had ___________ himself last night.
(d) Mr Chang promised to let the old lady sleep ___________ at night.

(a) The old lady asked Mr Chang not to throw his boots on the ___________.

Q-4 Answer the following questions
(a) Who was Mr Chang and why did he live alone?
(b) Why was there a great sound when Mr Chang would throw his shoes?
(c) Why could the lady not sleep at night?
(d) What did Mr. Chang do when he remembered his promise made to the old lady?
Q-5

Underline the adverb in each sentence.

(a) I carefully glued the last piece onto the model.

(b) Sam accidentally slipped on the ice.

(c) Yesterday, they played a game.

(d) My mother nicely reminded me to do my homework.

(e) The astronaut easily fixed the problem.

(f) I usually hug my mother when I get home.

(g) Jack finally arrived at the park.

(h) Prem waited patiently for the computer to load.

Multiple Choice Questions
Q-1 Mr Chang worked as a

(i)

labourer

(ii)

miner

(iii)

craftsman

(iv)

plumber
Q-2 The old lady said that she did not sleep the whole night because she was waiting for the next boot

(i)

to call

(ii)

fall

(iii)

to sound

(iv)

to move
Q-3 As he reached the door of his house upstairs, he used to knock at the door very

(i)

loudly

(ii)

quickly

(iii)

roughly

(iv)

quietly
Q-4 The old lady said that she did not sleep the whole night because she was waiting for the next boot

(i)

to call

(ii)

fall

(iii)

to sound

(iv)

to move
Q-5 Before going to sleep, Mr Chang would sing in a very bad

(i)

tune

(ii)

music

(iii)

sound

(iv)

lyrics
Chapter-10   The Great Ruler—Shivaji
Q-1 True Or False
(a) Shivaji was a brave and fearless warrior.
(b) Shivaji could be easily tricked by the people.
(c) Shivaji was forced to stop his attacks on Bijapur territory for a few years.
(d) Jijabai was Shivaji's guardian and tutor.
Q-2 Fill in the blanks with the correct adverbs of manner.
(a) The speaker looks angry. He is banging the table ______________.
(b) Yesterday, there was a football match. Roy was a bad player. He played ______________.
(c) Kumar is a dangerous driver. He drives ______________.
(d) Radha is impatient. Radha is waiting for her friend ______________.
(e) His behaviour is rude. He answered the teacher ______________
(f) She loves silence. She entered the room ______________.
(g) He asked you not to walk slow. If you walk so ______________, you will miss the bus.
(h) It was all of a sudden. Do you think he died ______________?
(i) There was a serious accident. The boy in the car was ______________ injured.
(j) She is careful. She does her homework ______________.
Q-3 Fill in the blanks
(a) Shivaji remains as one of the most popular heroes of our _____________.
(b) Afzal Khan had held Shivaji's neck in a wrestler's _____________.
(c) By 1658, Shivaji had brought the whole of north Konkan area under his _____________.
(d) In 1674, Shivaji was crowned the king of the Marathas at _____________.
Q-4 Answer the following questions.
(a) Who was Shivaji's father? Where did he work?
(b) What do you know about Jijabai?
(c) Who were Shivaji's companions and what did he learn from them?
(d) What happened when Shivaji and Afzal Khan met?
Q-5 Unscramble the words in the brackets to get the correct words and complete the sentences.
(a) An apple a day keeps the _____________ away. (CTOROD)
(b) Rice is grown in _____________ in south India. (AACUNDBE)
(c) The children were sitting _____________ in the class. (TENATIVELYT)
(d) Smoking is _____________ to health. (INUJIORUS)
(e) The school was closed during _____________. (ESMUMR)
(f) We should be very careful about not contributing to _____________. (TIONPOLLU)
(g) The earth _____________ on its axis around the sun. (TEROTAS)
(h) _____________ is the coldest place on earth. (TICANTARC)
Q-6

Choose the correct option.

(b) He ran around the block ______________. (quick / as quickly as / more quickly / quickly)

(c) Pinky finished the test ______________. (as fast as / the fastest / fastly / faster)

(d) Nick was upset because the clerk spoke ______________ to him. (more rudely / the most rudely / rudely / as rudely as)

(e) She walked ______________ into the haunted house as she could. (bravely / more bravely than / as bravely / bravely more)

(f) Sheela promised that she answered my question ______________. (truthfully / more truthfully / as truthfully as / more truthfully than)

(g) My friends greeted me ______________ at the airport. (as cheerfully / as cheerfully as / more cheerfully / cheerfully)

(h) The boy climbed the wall ______________ his friend. (easily / more easily / easilier / more easily than)

(a) I finished my homework ______________ you. (quickly / more quickly / quicklier / as quickly as)

Multiple Choice Questions
Q-1 Shivaji was born in the fortress of Shivner in

(i)

1627

(ii)

1623

(iii)

1659

(iv)

1658
Q-2 When Afzal Khan attacked Shivaji, he was saved by his

(i)

steel suit

(ii)

armour

(iii)

claws

(iv)

sword
Q-3 Shivaji brought under his control many Maratha chieftains who had grown powerful owing to the weakness of the ruler of

(i)

Bijapur

(ii)

Konkan

(iii)

Raigarh

(iv)

Raiganj
Q-4 Shivaji died in 1680 at the age of

(i)

53

(ii)

61

(iii)

58

(iv)

49
Chapter-11   Looking Up a Dictionary
Q-1 Some words are given below look up the dictionary and write their meanings.
(a) Ham
(b) Hall –
(c) Handy –
(d) Hat –
(e) Hang –
(f) Happy –
(g) Hello –
(h) Halloween –
(i) Handcuff –
(j) Halo –
(k) Hammock –
Chapter-12   The Sentence
Q-1 Change the following affirmative sentences into the negative ones.
(a) I like to read science fiction.
(b) Dogs chase cats.
(c) Dogs like to chase cats.
(d) Peterwantstotalkwith Ann.
(e) Alice works for an insurance company.
(f) I like th is movie very much.
(g) I enjoy playing with my kids.
(h) Sharon makes models from clay.
(i) I practice the violin every morning.
(j) My brother earns two hundred dollars a week.
(k) Our team played well yesterday.
(I) He goes to school by bus.
(m) She called me a fool.
(n) They had finished their work.
(o) John brokeanotherglasstoday.
Q-2 Choose the correct answer and write in the blank to turn the sentence into a complex sentence.
(a) That'sthewoman ____ I spokeaboutthejob.
(b) The house_______they live is opposite a big park.
(c) All of the exam papers are collected and given to the examiners, _______job is to mark them.
(d) Nextto the hotel there's a great gym______ you can work out.
(e) My mother, _______ has decided to learn Chinese
(f) My car ____ i can't get to work has broken down.
(g) We waited for nearly an hour to be served but our meal________ was awful.
(h) He worked hard ____ pass the exam.
(i) When ____ a child1 he did not go to school.
(j) Although ____ inflation, the standard of living has gone up.
Q-3 Join each pair of sentences. It should begin with a conjunction.
(a) Work hard. You will pass.
(b) Give full attention to your studies. You will succeed.
(c) Hurry up. You will miss the train.
(d) Ruth ranveryfast.Shecould not catch upwith Mark.
(e) He has already delivered a good performance. Nobody can question his eligibility.
(f) I know. He is a brave boy
(g) 'Would you like to accompany me?' He asked.
( h) We all respect him. He is an honest man.
( i) She cannot goto work. She fully recovers from her illness.
(j) Jane is quite warm and friendly. Her sister is quite warm and friendly.
Q-4 State which of the following sentences are simple, complex or compound
(a) I know you don't like him, but that doesn't matter.
(b) My classmates were wearing heavy clothes in the winter months.
(c) Pinku remained at home because he had a sore throat.
(d) While the music played, Rachel sneaked in through the side door.
( e) Those clouds promise snow; we might get another snow day off from school.
(f) Since we had only gone a mile from camp, we could turn back before dark.
(g) Dad went hunting, but Mama decided to stay home.
(h) Sarah and Ashley giggled and whispered all night.
(i) Although he searched everywhere, Mr. Brooks could not find the keys to the computer lab.
(j) Mara and Kelly had planned to return to Canada.
(k) Mrs. Saxena said that it will be enough, and everyone agreed.
(I) The vacation to Goa should be extremely restful.
(m) Eric ran home the rest of the way because he knew he was in trouble.
(n) Dr. Matthews did what could be done, but it simply was not enough to save his life.
(o) Her left arm was badly broken at the wrist during the car accident.
Q-5

Join each pair of sentences using the conjunction given in  the brackets.

(a) She was late. She had missed the bus. (as)

(b) I used a torchlight. It was very dark. (as)

(c) I wanted to go with them. My father would not let me go. (but)

(d) I went to see the manager personally. I had a very serious complaint to make. (for)

(e) The bull rushed straight at the little boy. He quickly moved to one side. (But)

Q-6

Change the following negative sentence into the  positive sentence.

(a) The teacher was not paying attention to the other children in the room.

(b) The band wasn't playing perfectly in tune.

(c) The police concluded that the security system had not been working properly.

(d) The research study did not conclude that longer school days lead to greater student achievement.

(e) Kunal has not been a taxi driver for a very long 

(f) My friend does not want to move to Alaska with her family.

Chapter-13   Parts of Speech
Q-1 Complete each sentence with the correct form of the verb 'to be' given in the brackets.
(a) The clouds moved away, and the sun shone through. The sky was fuII of pretty colour It (be) _____________beautiful.
(b) Arun and Rashmi (be) _____________ at the party last night.
(c) The old house (be) ___________ built in 1967.
(d) Christopher, where (be) you last night? I (be) _________________ looking all over for you.
(e) Yesterday (be) ______________ the best day of my life!
(f) I (be) ready to go. When (be) _______________ we leaving?
(g) Who (be) _____________ at the pool yesterday?
(h) I (be) __________ very tired. I (be) ______________ tired yesterday too. I think I (be) ____________ feeling sick.
(i) I (be) driving to the office this morning when I noticed that I was getting low on petrol. So, I stopped to get more. A kind man filled the tank for me. He (be) ______________ very nice.
(j) (be) ____ Taylor going to the pool later?
Q-2 Find out the adjective in each sentence.
(a) The dolphin is playful.
(b) Bob has a blue cycle.
(c) Tim is the tallest boy I know.
(d) The sunlight was very bright.
(e) Rajasthan is a very hot state.
(f) The girl was so happy.
(g) This is the best book I have read.
(h) The problem is very easy.
(i) The dress looks wonderful on you.
(j) Thetrain had a blue wagon at the end.
(k) The creek was muddy.
(I) Mike's gloves were dirty.
(m) Sarah drove down the bumpy road.
Q-3 Underline the nouns in the following sentences.
(a) Andrew is eating a peach.
(b) Roshan flew a kite in the park.
(c) The clock was broken.
(d) Mr. Jones corrected the test.
(e) Six dogs ran across the sidewalk.
(f) Michael is reading an exciting book about plants.
(g) Molly painted a pretty picture
(h) Cindy played the guitar
(i) Jake answered the question correctly.
(j) Adam dribbled the basketball.
(k) Prem munched on cookies.
(I) Ashokdrove hiscartowork.
Q-4

Choose a conjunction from the list below to join each pair of sentences.

(a) She was going out to play. It rained.

(b) He went to the cinema. He saw an adventure film.

(c) We decided to go to the beach. The sun shone.

(d) My friend came round. We were able to play together.

(e) You came to visit me. I was ill.

(f) I could not do the sum. It was very difficult.

(g) We could catch the train yesterday. We got lift from the stranger.

(h) The doctor could not save the patient. He tried hard.

(i) I can pay the debt. I get the loan.

(j) The student left the classroom. The teacher entered.

Q-5 Complete each sentence with the correct tense of the verb form given in the brackets.
(a) Tomorrow the park ranger (guide) __________ us on a hike to the top of the mountain.
(b) I (jog) __________ to school almost every day.
(c) I (miss) _________ the beginning of the movie last night, but I arrived late.
(d) Before the party tomorrow we (bake) __________ cookies.
(e) My sister and I (phone) _______our uncle lastnighttowish him happy birthday.
(f) The windows (sparkle) _____after I had cleaned them yesterday.
(g) I'm afraid the teacher (scold) _____________me for forgetting my homework.
(h) Let's watch the cars (zoom) ___________by as we ride on the train.
(i) As you blow air into it, the balloon (expand) ______until it pops.
(j) Yesterday I (learn) _________how to say hello and goodbye in French.
(k) Atthe end of the play, everyone in the audience (applaud) _____
(I) Tomorrow we (clear) __________the dead bushes from the back of the house.
(m) This morning I brushed my teeth and (comb)_________ my hair .
Q-6 Fill in the blanks with the suitable adverbs from the box
(a) i _________ go to bed at 10 o'clock.
(b) I have _____ been to the USA.
( c) I have been to Australia just _____ _
(d) i _______ take a bath before I go to bed.
(e) My grandparents live in Kera la. I visit them _____ _
(f) My friends are___________ non-smokers.
(g) I was ______ impressed with her performance.
(h) i _________ go for a walk in the park.
(i) I watch English films ____
(j) They ________ go out.
Q-7 ldentffythe interjections in the following sentences and underline them.
(a) Hi I'm glad that you could make itto my party.
(b) Wow! You lookgreattonight.
(c) Bravo! That was the best performance that I have ever seen.
( d) I can't believe you broke my favourite toy, bah.
(e) Hmm! l wonder where I put my keys andwallet.
(f) Miners used to shout, eureka! when they struck gold.
(g) "Shoo!" shouted the woman when she saw the cat licking m ii k from her cerea I bowl
(h) I guess that's the end of the movie, darn.
(i) Stop! You should always wear a helmet when riding a bike.
(j) Yippee! I made this picture all by myself.
Q-8 Underline the pronouns in the following sentences.
(a) She went to the store with John.
(b) Six of us had to squeeze in thetinycar.
(c) Every Thursday, Raju goes to the PVR cinema with them.
(d) Atthe store, the cashier gave her some change.
(e) When the sun comes up, he leaves for work.
(f) I enjoyed seeing them on the playground.
(g) Have you hung the painting on the wall yet?
(h) If I eat all of these vegetables, mother will let me watch television.
(i) We played with the puppy, then fed hera biscuit.
(j) Have you seen the sandcastle we built?
(k) I bounced the ball and Jack ran after it.
(I) She made dinnerforthewholefamily.
(m) It needs a fresh coat of paint .
Q-9

Fill in the blanks with the appropriate prepositions given in the box.

(a) There were _____________a thousand people at the concert.

(b) We are travelling _____________the road.

(c) He is suffering _____________ an unknown illness.

(d) I listened to the game _____________the radio.

(e) How are you getting _____________ at school?

(f) Don't be impatient ______________ us. We are trying!

(g) Could I speak _____________Tom, please?

(h) We didn't see the whole performance because we left_____________ the last act.

(i) There were some beautiful pictures _____________the walls.

(j) The march started in the park _____________there we moved to City Hall.

(k) He asked his mother_____________ money.

(l) I bought many things_____________ my stay in New York.

(m) My country is famous_____________ historical sights.

(n) I'm not_____________ a hurry. I can wait.

(o) Have you ever been_______________ the theatre recently?

Q-10

Choose the correct part of speech of the underlined word in each sentence.

(a) He bought a beautiful dress at the mall. (noun/adjective)

(b) What did they ask you to do? (conjunction/preposition/pronoun)

(c) left my shoes under the kitchen table. (adjective/preposition/noun)

(d) If we finish our work quickly, we can go to the park. (adverb/conjunction/verb)

(e) On Fridays, I work from ten to six. (verb/preposition/adverb)

(f) I want to go to a university in the United States. (adjective/preposition/noun)

(g) tam sure I've met your uncle before. (verb/preposition/interjection)

(h) Well, I don't think I'll be home before 6. (interjection/preposition/pronoun)

(i) Ravi knocked at the door but nobody answered. (adverb/adjective/conjunction)

(i) After lunch let's go out for coffee. (pronoun/preposition/verb)

Chapter-14   Nouns
Q-1 Find the abstract noun in each of the following sentences.
(a) The price of this book is very high.
(b) I found her advice very useful.
(c) Knowledge is power.
(d) We should give importance to cleanliness.
(e) He was very naughty in his childhood
(f) lndiagotfreedomon 15August, 1947.
(g) I fol lowed the advice of my mother.
(h) She has a huge collection of stamps.
(i) Practice gives perfection.
(j) His speech was inspiring.
Q-2 Fill in the blanks with the nouns as stated.
(a) The dog is a faithful __________. (Common noun)
(b) The days of ___________ are the best. (Abstract noun)
(c) February is the shortest _____________ of the ___________ (Common noun)
(d) __________ found the prisoner guilty. (Collective noun)
(e) I bought a ___________of bananas. (Collective noun)
(f) The police dispersed the _________. (Collective noun)
(g) The pen is mightier than the ____________ (Common noun)
(h) The school will reopen on ____________ (Proper noun)
(i) Mother bought a________ for my birthday. (Common noun)
(j) The audience gave a thunderous _________ (Abstract noun)
Q-3

Underline the proper nouns and common nouns in the following sentences.

(a) Prem is my best friend.

(b) I go to school with my friend Rohan.

(c) We are going to the park.

(d) She has six dogs.

(e) Father works hard to give us what we want.

(f) Sumit has a little sister.

(g) India is our country.

Q-4

State if the underlined nouns in the sentences are countable or uncountable.

(a) The children fell asleep quickly after a busy day of fun.

(b) Be careful! The water is deep.

(c) The parade included fire trucks and police cars.

(d) We like the large bottles of mineral water.

(e) My mother uses real butter in the cakes she bakes.

(f) How many judges does it take to pass a law?

Q-5 Form abstract noun from the given words and write in the blanks given.
(c) Kind
(d) Beautiful
(e) Honest
(f) True
(g) good
(h) Bitter
(a) Brave
(b) Wise
(j) Patient
(k) Fly
(I) Child
(m) Young
(i) Warm
(n) Joyous
Q-6 Choose the correct noun from those given in the brackets and fill in the blank.
(a) He shifted all his_______ (furniture/furniture) to his new house.
(b) He gave the shopkeeper a hundred __________(rupee/rupees) note.
(c) The old man cannot see without his ____ (spectacle/spectacles).
( d) I cut the string with a pair of ____ (scissor /scissors).
(e) The (cattle/catties) ______are grazing in the field.
(f) I have got some ____ (dollars/dollar)
(g) This (new/news) ____ is very important.
(h) I haven' t had much ______(rices/rice).
(i) I like to hear different kinds of _______(musics/music).
(j) There are many ________(peoples/people) in the show.
Q-7

Fill in the blanks with the suitable nouns from the Box given.

(a) He has no ______________ for beggars.

(b) I like playing indoor games like ______________.

(c) The crowd listened in ______________.

(d) A ______________ of bees flew out of the ______________.

(e) Give me a ______________ of ______________.

(f) A ______________ of ______________ was arrested yesterday.

(g) A ______________ of ______________ is playing in the garden.

(h) The teacher shouted in _____________ when he saw the poor attendance.

(i) Wordsworth was one of the greatest poets of ______________.

(j) ______________is the national game of ________________.

Chapter-15   Nouns: Singular, Plural
Q-1 Change the following sentences into the singular. Make other necessary changes.
(a) The potatoes are stems and not roots.
(b) His teeth are aching
(c) The mice ran into the holes when cats cametothem
(d) Masons are hard workers
(e) They told us interesting stories about the fairies.
(f) Women took their hats when they saw their officers.
(g) The lions pound upon the zebras.
(h) The monkeyssatonthetrees.
(i) The guards opened the gates.
(j) The angels blessed the babies.
(k) The ladies organized parties for the members.
Q-2 Change the following sentences into the plural. Make other necessary changes.
(a) The baby cries for milk.
(b) This deer has beautiful long horns.
(c) The boy was caught selling gold.
(d) That calf atea loaf of bread.
(e) The little girl likes rose very much.
(f) The thief has been caught by the pol iceman.
(g) The nurse carried the baby in her arms.
(h) That woman is my aunt.
(i) That girl is from St Xavier's School.
(j) Sheep gives us wool.
(k) Please give me a glass of water.
(I) I like to have rice and curd for lunch
Q-3

Rewrite the following sentences by changing the underlined nouns into the plural. Also make other necessary changes.

(a) The comb is hers.

(b) the leaf is yellow.

(c) The lady is a teacher.

(d) This postcard is from my uncle.

(e) That branch is broken.

(f) This story is interesting.

(g) The boy is my nephew.

Chapter-16   Place Value
Q-1 Write predecessors of the numbers given below :
(a) 20,000
(b) 1,20,201
(c) 2,20,22,229
(d) 78,99,900
Q-2 Round the numbers given below at 10’s place
(a) 1,299
(b) 79
(c) 126
(d) 13,212
Q-3

Write the word form of the numbers given below :

(a) 69,23,514

(b) 2,66,97,310

(c) 4,33,901

(d) 3,33,333

Q-4

Write the place value of underlined digit in the followings :

(a) 7,2,33,455

(b) 1,43,56,792

(c) 5,07,34,233

(d) 6,71,0399

Q-5 Compare, using’<’,’>’,’=’, the following:
(a) 3,27,999 _________ 4,33,999
(b) 66,666 ___________ 55,666
(c) 1,24,24,435 __________ 4,33,999
(d) 57,923 _______ 57,723
Q-6 Write successors of the numbers given below :
(a) 47,999
(b) 46,099
(c) 45,009
(d) 47,099
Q-7 Insert the commas using the International System and also write in word form :
(a) 3973467
(b) 299990
(c) 4000090
(d) 200002
Q-8 Write answers in Roman Numerals:
(a) Sum of LXX and IV =
(b) Sum of MM and CM =
(c) Sum of XC and CX =
(d) Sum of XXIII and XXVII =
Q-9 Write word form and expanded notation for :
(a) 3,97,697
(b) 5,67,23,009
(c) 45,90,020
Q-10

Write the expanded form of the numbers given below :

(a) 4,23,50,009

(b) 66,27,319

(c) 4,25,255

(d) 6,929

Q-11

Write the numbers given below in figures :

(a) Four crore fifty lakh seven.

(b) Seven lakh fifteen thousand seventy-seven.

(c) Twenty-five lakh twenty-five thousand twenty-five.

(d) Sixty thousand six hundred seven.

(e) Nine crore twenty-four lakh fifty-two thousand four hundred sixty-nine.

Q-12

Write greatest possible number of 7-digit by repeating the digits (if re-quired)given below:

(a) 7, 3, 5, 9,

(b) 0, 6, 5, 7, 9

(c) 1, 9, 6, 3, 4, 8, 7

(d) 1, 3, 7, 2

Q-13

Answer the following questions

(1.) Some time before, India’s population reported as 111945687, rewrite the population both in word and figure form using commas in international form.

(2.) Take some information from your GK book which contains 7 — digit and 8-digit numbers, rewrite them using the International system both in word form and figure form.

Q-14

Round the numbers given below at 100’s place :

(a) 299

(b) 11,099

(c) 12,527

(d) 2,98,890

Q-15

Given below is a portion of a map, which shows different places with their distances. Look at the picture and answer the questions that follow :

(a) Write the distances, which can’t be round up at l00’s place and round up the same distances at l0’s place.

(b) Write the two longest distances and round up them at extreme left hand place.

(c) Write 4-digit distances and round up at 1000’s place.

Q-16

Write the numbers in Roman numerals :

(a) 505 = 

(b) 307 = 

(c) 55 = 

(d) 99 = 

(e) 73 = 

(f) 400 = 

Q-17

Compare using’<’,’>’, or’=’:

Q-18

Write smallest possible number of 8-digit by repeating the digits (if re-quired)given below:

(a) 2, 5, 4, 3, 7

(b) 8, 7, 9, 6, 5, 4

(c) 7, 4, 5, 6, 0, 1, 2, 3,

(d) 9, 4, 7, 2

Q-19

Round the numbers given below at 1000’s place :

(a) 2,67,000

(b) 3,999

(c) 20,690

(d) 2,010

Q-20

Fill in the boxes with Hindu-Arabic numbers :

Q-21

Write answers in Roman Numerals:

(a) Sum of LXX and IV = _________________________

(b) Sum of MM and CM = _________________________

(c) Sum of XC and CX = _________________________

(d) Sum of XXIII and XXVII = _________________________

Chapter-17   Fundamental Operations
Q-1 Calculate profit or loss in the following cases :
(a) C.P. = Rs. 340 ; S.P. = Rs. 400
(b) C.P. = Rs. 2010 ; S.P. = Rs. 1990
(c) C.P. = Rs. 315; S.P. = Rs. 285
(d) C.P. = Rs. 3500; S.P. = Rs. 6000
Q-2 Solve:
(a) 8,641 × 38
(b) 7,942 × 308
(c) 6,549 × 231
(d) 3,027 × 191
(e) 68,417 × 317
(f) 37,479 × 38
(g) 30,004 × 101
(h) 4,237 × 200
(i) 397 × 300
Q-3 Fill up the blanks :
(a) Dividend= ___ , Quotient= 915, Divisor= 62, Remainder = 53
(b) Dividend = 66728 Quotient = ___ , Divisor = 17, Remainder= ___
(c) Dividend= 7456788 Quotient= , Divisor= 32, Remainder = 20
(d) Dividend= ___ , Quotient= 84305, Divisor= 35, Remainder = 2
(e) Dividend= 995906 Quotient= ___ , Divisor= 1456, Remainder= ___
Q-4 . Evaluate:
(a) 23475-3695-17205
(b) 494654 + 27654
(c) 50398 – 28627
(d) 6234 + 11745- 8987
(e) 32497 + 11310
(f) 7929 + 4692 + 5037
Q-5

Fill in the blanks :

(a) Cost of 10 oranges is ` 20. If each orange is sold at ` 1.50, is it profit/loss?______________.

(b) There is a loss if ______________.

(c) There is a profit if ______________.

(d) S.P. = ______________ + C.P.

(e) C.P. = Loss +_____________.

(f) Loss = _________–_________.

(g) Profit = _________–_________.

Q-6

Look into the pattern and complete the multiplication :

Q-7

Word Problems : 

(1.) What is to be added in the sum of 12,66,325 and 32,585 to get 15,00,023?

(2.) There is a need of 31,250 pens in a year. How many boxes of 50 each are required to be purchased ?

(3.) Suresh travelled 5,185 km. When he started journey, his meter was at 24,815. What is present meter reading of his vehicle ?

(4.) How many 10-thousands are there in 10 Lakhs ?

(5.) What will be the cost of each vehicle, if 125 vehicles cost ` 2236875.

(6.) If one bus can carry 42 passengers at a time, how many passengers can be accommodated in 310 buses?

(7.) An oil tanker is full of 500 l of oil. How much oil will be filled in 25 such tankers? If 20 buckets can be filled with one tank of oil, how many buckets in all can be filled with the oil in 25 tanks ?

(8.) If 676 note-books are to be packed in 26 boxes, how many note-books will be packed in each box ?

(9.) A company collected ` 6622875 from its employees for the Kargil Relief Fund. If each employee donated ` 435, find the number of employees.

(10.) There are 20 students in one class. Each class has 4 sections and 26 classes are there in a school. How many students are there in a school ?

(11.) The cost of one book is  Rs 68. Sita buys 21 books.
          (a) How much she has to pay? (b) What will be cost of 45 such books ?

Q-8 Fill in the missing entry :
(a) C.P. = Rs. 390; Profit= Rs. 40 : S.P. =
(b) S.P. = Rs. 410; Loss = Rs. 20: C.P. =
(c) Profit = Rs. 40; S.P. = Rs. 340; C.P. =
(d) C.P. = Rs. 13,850; Loss = Rs. 3150; S.P. =
Q-9 Divide:
(a) 3780 ÷ 92
(b) 4220 ÷ 25
(c) 87631 ÷ 371
(d) 4036792 ÷ 258
(e) 262907 ÷ 403
(f) 47348 ÷ 36
Q-10

Add the following :

Q-11

Subtract the following and check :

Q-12

Fill in the blanks 

Q-13

Fill in the boxes :

Q-14

Answer the following questions 

(1.) Sohan purchased an almirah for ` 6,500 and sold it to Mohan for ` 8,200. Calculate his profit or loss.

(2.) A shopkeeper sold one dozen note books for ` 725 and has lost ` 75. At what price did he purchase the note books?

(3) Sita purchased a cycle for ` 2100, she spent ` 185 for sitting carrier, bell, etc. in it and sold it for ` 2500. Find her profit or loss.

(4) A grocer purchased goods from the market at ` 1,26,350 and spent ` 2,370 in transportation and packaging. He sold all the goods at ` 1,85,700. What is the profit or loss earned by the grocer in selling goods ?

(5) A businessman wants to keep an eye on the goods available with him and sold every day. While keeping track of maintaining records, he forgets a few entries. Fill in the missing entries and complete the record.

Q-15

Look into the pattern and complete the multiplication :

Chapter-18   Factors and Multiples
Q-1 Find the HCF by horizontal method :
(a) 92,138
(b) 320,440
(d) 36,45
(c) 440,385
Q-2 Find HCF by vertical method
(a) 28,36
(b) 230,322
(c) 504,672
(d) 693,2079
Q-3

Separate the prime numbers and composite numbers from the numbers given below:

(1)  6, 28, 39, 13, 63 and 47.

Q-4

Fill in the blanks so that the numbers are divisible by ‘11’:

(a) 4_6_1

(b) _8_3

(c) 1_4_5

(d) 1_0_1

Q-5

Which of the following numbers are divisible by 2 ?

(a) 3890

(b) 9786

(c) 278

(d) 7376

(e) 1208

(f) 4856257

Q-6

Which of the following numbers are divisible by 5 ?

(a) 18540

(b) 356795

(c) 6165530

(d) 22400724

Q-7

Word Problem: 

(1) Find the prime factors of 12 and 16 and write the prime factors which are common to both.

(2) Find the prime factors of 100, 250 and 1600 and write the prime factors which are common.

Q-8

Find all the prime factors of the following numbers using the factor tree method.

(a) 24

(b) 36

(c) 27

(d) 135

(e) 40

(f) 50

(g) 65

(h) 28

Q-9

Find HCF by vertical method :

(a) 28,36

(b) 230,322

(c) 504,672

(d) 693,2079

Q-10

Find LCM by prime factorization method :

(a) 180,200, 240

(b) 15, 20, 25, 30

(c) 18, 24, 72

(d) 15,20,35

Q-11

Find LCM by using division method :

(a) 96,256, 288

(b) 40,480,560

(c) 140, 210,350

(d) 18, 24,32

Q-12 Fill in the blanks so that the numbers are divisible by ‘11’:
(a) 4_6_1
(b) _8_3
(c) 1_4_5
(d) 1_0_1
Q-13 Find all the prime factors for the following numbers :
(a) 64
(b) 100
(c) 1000
(d) 2000
(e) 1600
(f) 2500
(g) 1500
(h) 30,000
(i) 256
(j) 398
Q-14

Say ‘true’ or ‘false’ :

(a) Prime number can have either 1 or 2 factor.

(b) 2 and 3 is the only pair of successive prime number between 1 and 100.

(c) There are 26 prime numbers between 1 and 100.

(d) There are 74 composite numbers between 1 and 100.

(e) All composite numbers are divisible by 2.

Q-15

Which of the following numbers are divisible by 3 ?

(a) 771

(b) 179

(c) 835

(d) 99999

(e) 66186627

(f) 45376

Q-16

Fill in the missing factors and quotient in the following factor trees :

Q-17

Find the HCF by horizontal method :

(a) 92,138

(b) 320,440

(c) 440,385

(d) 36,45

Q-18

Find HCF by long division method :

(a) 385,440,495

(b) 216,468, 828

(c) 15,36,40

(d) 16, 18,20

Q-19

Find LCM by using division method :

(a) 96,256, 288

(b) 40,480,560

(c) 140, 210,350

(d) 18, 24,32

Chapter-19   Fractions
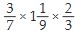
Q-1 Multiply:
b) 4/5 × 5/4
(c) 6/25 × 5/7
(d) 17 /1 3 × 4/ 1 5
(a) 9/15 × 0
Q-2 Find 1/4 of a collection of:
(a) 24 oranges
(b) 32 note books
(c) 36 pencils
Q-3 Find 3/5 of a collection of:
(a) 20 books
(b) 25 pens
(c) 40 laddoos
Q-4

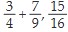
Subtract the following :

Q-5

Arrange the following in ascending order :

Q-6

Arrange the following in descending order :

Q-7

Fill in the blanks :

Q-8

Multiply:

Q-9

Divide the following :

Q-10

Divide :

Q-11

Add the following :

Q-12

Express each into an improper fractions :

Q-13

Express each into a mixed fractions :

(a) 100/3

(b) 250/9

(c) 300/29

(d) 200/7

Q-14 Divide the following :
(b) 8/13 ÷ 32
(c) 25/21 ÷ 25/7
(a) 3/7 ÷ 15
Q-15 Find 3/5 of a collection of:
(a) 20 books
(b) 25 pens
(c) 40 laddoos
Q-16

Express each into an improper fractions :

Q-17

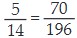
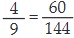
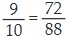
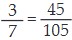
Compare the following by using the symbols ‘<’ or ‘>’ or ‘=’ :

Q-18

Replace ’

Q-19

Find equivalent fraction of 24/60 having :

(a) numerator 20

(b) denominator 90

(c) denominator 30

(d) numerator 36

Q-20

Verify whether given fractions are equivalent or not :

Q-21

Reduce the following in the lowest form :

(a) 66/132

(b) 44/122

(c) 28/20

(d) 16/18

Chapter-20   Decimals
Q-1 Write the following in short form:
(a) 40 + 7 + 5/100
(b) 100 + 30 + 1/10 + 5/100
(c) 300 + 90 + 7 + 3/10 + 9/100
Q-2 Fill in the blanks with equivalent decimals
(a) _______= 2.70 = 2.700
(b) 17.5 = _______= _______
(c) 0.8 = _______ = 0.800
(d) 2.4 _______= 2.400
(e) 407.5 = _______ = _______
(f) 9.8= _______ = _______
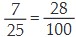
Q-3 Compare using’>’,’<’ or’=’:
(a) 7.357-3.42( ) 5.91
(b) 61.357- 54.92( ) 90.082- 78.37
(c) 16.989 -14.07 ( )14.07- 10.078
(d) 94.87- 68.92( ) 100.03- 79.1
Q-4

Write the place value of underlined digits:

(a) 207.1 9 7

(b) 30. 5 26

(c) 1 009 .207 1

(d) 379.1275

(e) 8.278

(f) 407.65

Q-5

Fill in the blanks with equivalent decimals :

(a) _______= 2.70 = 2.700

(b) 17.5 = _______= _______

(c) 0.8 = _______ = 0.800

(d) 2.4 _______= 2.400

(e) 407.5 = _______ = _______

(f) 9.8= _______ = _______

Q-6

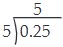
Compare using <, >, or = :

Q-7

Write in ascending order:

(a) 9.06, 0.66, 1.1

(b) 6.65, 6.065, 60.65

(c) 305.8, 350.6, 315.7, 315.07

(d) 20, 18.89, 19.88, 19.9

(e) 2.32, 2.032, 3.202, 3.0202

(f) 7.75, 77.5, 70.5, 71.05

Q-8

Compare using’>’,’<’, or’=’:

Q-9

Subtract :

(a) 9.785 from 11

(b) 2.63 from 7.347

(c) 2.037 from 5.809

(d) 17.92 from 21.07

(e) 31.427 from 50.239

(f) 53.9 from 60.039

Q-10

Place the decimal points in the following products :

(a) 4.04 × 5.7 = 23028

(b) 2.569 × 1.23 = 315987

(c) 147.134 × 5.35 = 78716690

(d) 3.521 × 0.4120 = 14506520

Q-11

Multiply each of the following by 100, 1000 and 10,000 :

(a) 0.46

(b) 3.403

(c) 21.34

(d) 102.37

Q-12

Write quotient for the following : 

(a) 3.604 ÷ 5.3

(b) 612.68 ÷ 90.1

(c) 999.9 ÷ 0.9

(d) 6.2 ÷ 248

(e) 15 ÷ 8

(f) 24 ÷ 25

Q-13

Match the following :

Q-14

To make a portrait with clay, following items are required :

Q-15 Write in figures :
(a) Thirty point zero seven five
(b) Three hundred fifty-five point one two
(c) Sixty-seven point zero
(d) Two Thousand seven point five zero seven
(e) One point one
(f) Eight point two zero four
Q-16 Express as decimals :
(a) 45/100000
(b) 11782/10000
(c) 8/100
(d) 367/10
(e) 186/100
Q-17 Add:
(a) 23.110 and 9.7
(b) 14.705 and 19.23
(c) 9.729 and 9.123
(d) 0.11 and 11.072
(e) 2.32, 1.962, 11.2
(f) 19.02, 9.2 and 8.232
Q-18

Write in words: 

(a) 357.9725 = _________________________________________________

(b) 40.207 = ________________________________________________

(c) 205.3009 = ________________________________________________

(d) 119.279 = ________________________________________________

(e) 215.215 = ________________________________________________

Q-19

Write the following decimals in expanded form :

(a) 19.35

(b) 19.265

(c) 213.3065

(d) 490.008

(e) 8.275

(f) 137.509

Q-20

Express the following unlike decimals into like decimals :

(a) 7.15, 7.0209; 7.6

(b) 11.5, 1.2, 1.327

(c) 2.9, 1.76, 8.063

(d) 9.04, 9.040; 9.0400

(e) 8.4, 7.262; 0.02

(f) 24.85, 708.124

Q-21

Express as decimals :

(a) 45/100000

(b) 11782/10000

(c) 8/100

(e) 186/100

(d) 367/10

Q-22

Express as fraction :

(a) 0.49

(b) 2.754

(c) 0.05

(d) 0.185

(e) 6.9782

(f) 12.024

Q-23

Add:

(a) 23.110 and 9.7

(b) 14.705 and 19.23

(c) 9.729 and 9.123

(d) 0.11 and 11.072

(e) 2.32, 1.962, 11.2

(f) 19.02, 9.2 and 8.232

Q-24

Subtract :

(a) 9.785 from 11

(b) 2.63 from 7.347

(c) 2.037 from 5.809

(d) 17.92 from 21.07

(e) 31.427 from 50.239

(f) 53.9 from 60.039

Q-25

Compare using’>’,’<’ or’=’:

Q-26

Word Problems: 

(1) What is to be subtracted from 23.764 to get 17.24 ?

(2) The weights of Ramesh and Sohan are 60.5 kg and 57.8 kg respectively. Who is heavier and by how much ?

(3) Capacity of two utensils is 3.46 litres and 5.755 litres. Which utensil can contain more liquid and by how much ?

Q-27

Multiply the following :

(a) 467 × 0.3

(b) 467 × 0.03

(c) 46.7 × 0.03

(d) 4.67 × .003

Q-28

Find the product of the following :

(a) 6.582 × 16

(b) 3.709 × 1.42

(c) 2.76 × 4.5

(d) 1.012 × 244

(e) 2.5 × 1.2 × 6.392

(f) 5.21 × 3.4 × 17.5

Q-29

Place the decimal points at suitable place in the following and write the answers :

Q-30

Divide the following and verify the answer :

(a) 11.375 by 2.5

(b) 24.66 by 12

(c) 1.0517 by 13

Q-31

Fill in the blank :

(a) 38.25 × 10 = __________

(b) 4.625 × 10 = __________

(c) 0.3725 × 100 = __________

(d) 0.03725 × 100 = __________

(e) 0.38256  ÷ 10 = __________

(f) 0.0382 ÷10 = __________

(g) 4975.6 ÷100 = __________

(h) 3.9796 × ________ = 39.776

(i) 397.96 × ________ = 3979.6

(j) 24.3295 × ________ = 2432.95

(k) 243.295 × ________ = 243295

(l) 4.632 ÷ 2 = _____

(m) 4.632 ÷ 20 = _____

(n) 9.732 ÷ 20 = _____

(o) 9.732 ÷ 200 = _____

(p) 0.857 ÷ 30 = _____

(q) 0.857 ÷ 300 = _____

(r) 4.84 ÷ 22 = _____

(s) 4.84 ÷ 0.22 = _____

(t) 36 ÷ 0.09 = _____

(u) 3.65 ÷ 91.25 = _____

(v) 3.48 ÷ 0.003 = _____

(w) 3.48 ÷ 0.3 = _____

(x) 1025 ÷ 500 = _____

Chapter-21   Reproduction in Plants
Q-1 True Or False
(a) Seeds are dispersed far away from the parent plant to ensure the survival of new plants.
(b) The seed coat does not protect the seed and its internal parts.
(c) A new potato plant can be grown from a potato with an eye.
(d) Seeds need only air, water and warmth for germination.
Q-2 Short-answer type questions.
1. Why can't all seeds grow into plants?
2. Name the parts of a plant other than seed which help in reproduction.
3. Define agriculture and crop.
Q-3 Long-answer type questions.
1. Explain the structure of a seed with the help of a diagram.
2. What is germination? Explain germination of a seed with the help of a diagram.
3. What is dispersal ? How are seeds dispersed by wind, animals and explosion ?
4. List the points that should be kept in mind while growing a particular crop.
Q-4 Define the following terms:
1. Germination
2. Rabi season
3. Kharif season
Multiple Choice Questions
Q-1 Which of these provide(s) food to the baby plant present inside the seed?

(i)

Cotyledons

(ii)

Seed coat

(iii)

Roots
Q-2 Which of these crops is grown from November to April ?

(i)

Jowar

(ii)

Wheat

(iii)

Rice
Q-3 Which of these plants has leaves that give rise to new plants ?

(i)

Dandelion

(ii)

Rose

(iii)

Begonia
Chapter-22   Animal World
Q-1 Match the following.
Q-2 Short-answer type questions.
1. Why do animals need to move ?
2. Why do animals need to take in oxygen ?
3. Why do some animals migrate ?
Q-3 Fill in the blanks:
(a) The place where an animal grows or is found naturally is called its _______.
(b) ________ are the tiny holes present on the body of insects for the exchange of gases.
(c) In an _________ habitat, organisms live in deep, salty water.
(d) Animals like yak, bear and sheep have ___________ on their bodies.
Q-4 Long-answer type questions.
1. What is the difference in the way a tadpole and a frog breathe ?
2. How is the breathing process of an insect different from that of a fish ?
3. What special features help water animals to move ?
4. How do insects move ?
Multiple Choice Questions
Q-1 Whales and dolphins are classified as

(i)

amphibians

(ii)

mammals

(iii)

reptiles

(iv)

fish
Q-2 This animal has scales on its body.

(i)

fish

(ii)

deer

(iii)

zebra

(iv)

ostrich
Q-3 This bird cannot fly

(i)

duck

(ii)

Arctic tern

(iii)

ostrich

(iv)

owl
Q-4 A frog is an amphibian because it can live

(i)

only on land

(ii)

only in water

(iii)

on land and in water

(iv)

none of these
Q-5 This animal has scales on its body.

(i)

fish

(ii)

deer

(iii)

zebra

(iv)

ostrich
Q-6 Locusts are harmful migratory

(i)

rodents

(ii)

fish

(iii)

insects

(iv)

birds
Chapter-23   Food, Health and Hygiene
Q-1 State whether the following statements are true or false.
1. Plague is a non-communicable disease.
2. Exercise is important for staying healthy.
3. Fish and eggs are rich in carbohydrates.
4. Vitamins help in formation of teeth and bones.
5. To remain healthy, we must eat a healthy diet.
Q-2 Long-answer type questions
1. What steps should be taken to prevent the occurrence of communicable diseases ?
2. Healthy diet protects us from many diseases. Comment on this statement.
3. What are the various ways in which communicable diseases spread ?
Q-3 Fill in the blanks
(a) The term ........................ refers to the state of complete physical and mental well-being.
(b) Food contains ........................ which are the building materials of our body.
(c) Vitamins and ........................ are protective components.
(d) Exercises make our muscles and bones ........................ .
(e) Washing hands with soap and water removes dirt and ........................ present on your hands.
Q-4 Give one-word answer for each of the following.
1. Disease caused by the deficiency of iron.
2. Disease caused by the deficiency of vitamin C.
3. Disease caused by the deficiency of calcium and phosphorus.
4. Disease caused by the deficiency of iodine.
5. Disease caused by the deficiency of vitamin D.
Q-5 Short-answer type questions
1. Why are carbohydrates called energy-giving components of food ?
2. Why is water essential for our body ?
3. What are the various components of a balanced diet ?
Multiple Choice Questions
Q-1 The condition of abnormal function of a part of the body or the whole body is known as

(i)

hygiene

(ii)

health

(iii)

disease
Q-2 Which of these is a source of fats ?

(i)

ghee

(ii)

apple

(iii)

carrots
Q-3 Which of these is a communicable disease ?

(i)

Cancer

(ii)

Cholera

(iii)

Scurvy
Q-4 Which of these is caused due to deficiency of iodine in the food ?

(i)

Goitre

(ii)

Anaemia

(iii)

Rickets
Q-5 Which of these helps improve the blood circulation of the body ?

(i)

Exercise

(ii)

Hygiene

(iii)

Rest
Q-6 Which of these nutrients help our body to fight diseases ?

(i)

Fats

(ii)

Proteins

(iii)

Vitamins
Q-7 Which of these is caused due to deficiency of iodine in the food ?

(i)

Goitre

(ii)

Anaemia

(iii)

Rickets
Chapter-24   Bones and Muscles
Q-1 Fill in the blanks
(a) There are .......................... bones in each hand and ......................... bones in each foot.
(b) .. ........................... is the only movable bone of the skull.
(c) There are more than ............................. muscles in our body.
(d) The heart is made of ............................. muscles.
(e) The muscles that we can move easily are known as ............................. muscles.
(f) Arms are joined to the spine with the help of ............................ and ............................. .
(g) The spine is also known as ............................. .
(h) Muscles are attached to bones by tissues called ............................. .
Q-2 Short-answer type questions.
1. What is a joint ?
2. What is bone narrow ?
3. What are tendons ?
Q-3 Long-answer type questions
1. How is our skeleton useful to us ?
2. Distinguish between voluntary and involuntary muscles.
3. How do muscles work ?
4. How can we keep our muscles in good shape ?
Multiple Choice Questions
Q-1 Muscles are attached to the bones with fibres called

(i)

ligaments

(ii)

tendons

(iii)

bone narrows

(iv)

ribs
Q-2 This joint allows the maximum movement

(i)

ball and socket joint

(ii)

pivot joint

(iii)

hinge joint

(iv)

gliding joint
Q-3 Which of the following parts of the body is formed of cartilage only ?

(i)

Ligaments

(ii)

Skull

(iii)

Nose tip

(iv)

Ribcage
Q-4 Which of the following types of joints is found in fingers ?

(i)

Gliding joint

(ii)

Ball-and-socket joint

(iii)

Hinge joint

(iv)

Pivot joint
Q-5 This joint allows the maximum movement

(i)

ball and socket joint

(ii)

pivot joint

(iii)

hinge joint

(iv)

gliding joint
Q-6 Which of the following types of joints allows the bones to glide over each other?

(i)

Pivot joint

(ii)

Ball-and-socket joint

(iii)

Gliding joint

(iv)

Hinge joint
Chapter-25   Our Nervous System
Q-1 Match the following.
Q-2

Long-answer type questions.

1. What does the nervous system do ?
2. Write about the structure of an eye with the help of a diagram
3. Name the three kinds of nerves. Explain each in a single sentence.
4. What do you know about the spinal cord ?
5. What are reflex actions? Give any two example.
6. Name the three main parts of the brain. Give their functions.
Q-3 Short-answer type questions.
1. Name all the five sense organs
2. What are the three main parts of the nervous system ?
3. How can we take care of our eyes ?
Q-4 Match the following.
Q-5

Long-answer type questions.

1. What does the nervous system do ?
2. Write about the structure of an eye with the help of a diagram
3. Name the three kinds of nerves. Explain each in a single sentence.
4. What do you know about the spinal cord ?
5. What are reflex actions? Give any two example.
6. Name the three main parts of the brain. Give their functions.
Q-6 True Or False
(a) The spinal cord connects the brain with the rest of the body
(b) The brain is made up of fat and water.
(c) The vertebral column protects the spinal cord.
(d) Cerebellum controls our sense organs.
(e) Mixed nerves carry messages in both ways.
(f) Reflex action is under the control of the brain.
(g) Taste buds help us to speak.
(h) The cornea acts as a screen on which the picture of what we see is formed.
Multiple Choice Questions
Q-1 Our nervous system consists of the brain, the spinal cord and the

(i)

blood vessels

(ii)

ligaments

(iii)

nerves

(iv)

lungs
Q-2 When we happen to touch a hot object, the sensory nerve immediately passes a message to the

(i)

hands

(ii)

spinal cord

(iii)

head

(iv)

eyes
Chapter-26   Rocks and Minerals
Q-1 Give two examples for each.
1. Metamorphic rocks
2. Igneous rocks
3. Sedimentary rocks
4. Gems
5. Metals
Q-2 Short-answer type questions.
1. What is the study of rocks called ?
2. What are the scientists who study rocks called?
3. Name the igneous rock that floats in water.
4. Name the hot molten rock that flows out of a volcano.
5. What is hot molten mixture found under the earth called ?
Q-3 True Or False
(a) Precious molten elements like gold and silver are used for making utensils.
(b) Asia has more than one-third of the world's coal.
(c) The study of rocks is called petrology.
(d) Fossil fuel and black gold are some other names of coal.
(e) Magma is the mixture of magnesium and copper.
Q-4

Long answer type questions:

1. How are igneous rocks formed ?
2. How are metamorphic rocks formed ?
3. How is basalt different from granite ?
4. How are sedimentary rocks formed ?
5. How was coal formed ? Write some uses of coal.
6. How was petroleum formed ? What products are obtained from petroleum ?
Multiple Choice Questions
Q-1 The traces of ancient plants and animals found in rocks are called

(i)

vessels

(ii)

fossils

(iii)

tonsils
Q-2 Which of these is a sedimentary rock ?

(i)

pumice

(ii)

slate

(iii)

limestone
Q-3 The molten fluid that reaches the surface of the earth is called

(i)

lava

(ii)

petrol

(iii)

marble
Chapter-27   Soil Erosion and Conservation
Q-1 Fill in the blanks
(a) When land becomes ....................... ,it cannot support any form of life.
(b) .. ..................... are built along river banks to prevent soil erosion.
(c) .. ..................... and ....................... are animals that live in the soil.
(d) . ...................... is the topmost layer of the earth.
(e) .. ..................... blows away the top layer of the soil.
Q-2 Short-answer type questions.
1. What is soil erosion ?
2. What are the agents of soil erosion ?
3. What is soil conservation ?
Q-3 True Or False
(a) Rain does not loosen the topsoil
(b) Erosion of soil can lead to landslides.
(c) If the top soil is eroded, land becomes infertile.
(d) Rainwater helps to conserve soil.
(e) Afforestation reduces soil erosion.
(f) Animals should be left to graze on the same piece of land year after year.
(g) Soil is a home to some small animals.
(h) Terrace farming helps soil from being lost completely.
Q-4 True Or False
(a) Rain does not loosen the topsoil
(b) Erosion of soil can lead to landslides.
(c) If the top soil is eroded, land becomes infertile.
(d) Rainwater helps to conserve soil.
(e) Afforestation reduces soil erosion.
(f) Animals should be left to graze on the same piece of land year after year.
(g) Soil is a home to some small animals.
(h) Terrace farming helps soil from being lost completely.
Q-5 Long-answer type questions.
1. How can soil be conserved ?
2. What is the difference between afforestation and deforestation ?
3. Why is soil a valuable natural resource?
4. What is soil ? How is it formed ?
Multiple Choice Questions
Q-1 This can be a factor of soil erosion

(i)

growing of crops

(ii)

afforestation

(iii)

deforestation

(iv)

step farming
Q-2 The erosion of soil along the river banks can be prevented to some extent by

(i)

planting trees

(ii)

building dams

(iii)

all of these

(iv)

step farming
Q-3 This can be a factor of soil erosion

(i)

growing of crops

(ii)

afforestation

(iii)

deforestation

(iv)

step farming
Q-4 The wearing off or carrying away of soil by the action of water or wind is called

(i)

deforestation

(ii)

soil erosion

(iii)

storm

(iv)

none of these
Chapter-28   The Globe: A Model of the Earth
Q-1 Fill in the blanks
(a) Parallels run from ____________ to __________.
(b) Meridians run from ___________ to _____________.
(c) There are ___________ meridians east of the Prime Meridian.
(d) The Tropic of Cancer is in the _____________ Hemisphere.
(e) The Prime Meridian passes through _____________.
Q-2 True Or False
(a) The equator is a real line that divides the Earth into two equal halves.
(b) Latitudes are also called meridians.
(c) The Tropic of Cancer is in the Northem Hemisphere.
(d) The equator passes through India.
(e) Arctic Circle is at 66W longitude.
Q-3 Write short answers :
1. How many latitudes are there on a globe?
2. What is a globe?
3. What is the shape of the Earth?
4. Which longitude passes through Greenwich ?
Q-4 Answer the following questions :
1. How do parallels differ from meridians ?
2. What is the Prime Meridian?
3. How are we sure about the shape of the Earth?
4. What is a grid and how is it helpful ?
Multiple Choice Questions
Q-1 Parallel lines to the Great Circle are called

(i)

Equator

(ii)

Latitudes

(iii)

Longitudes

(iv)

Tropic of Cancer
Q-2 Landmasses on the Earth are known as

(i)

Seas

(ii)

Continents

(iii)

Oceans

(iv)

Countries
Q-3 The Earth is somewhat flat at both ends". This idea was given by

(i)

Sir Issac Newton

(ii)

Eratosthenes

(iii)

Magellan

(iv)

Pythagoras
Q-4 For locating a place on a globe we need to know

(i)

its latitude and longitude

(ii)

its height

(iii)

its distance from the equator

(iv)

all of these
Chapter-29   Maps: Our Guides
Q-1 Answer the following questions :
1. What are the four major directions?
2. What is a map? What are its advantages ?
3. What do you mean by a sketch?
Q-2 Write short answers :
1. What is a map ?
2. What is meant by the language of a map ?
Q-3 Match the following columns :
Multiple Choice Questions
Q-1 A book that contains maps is called an

(i)

Encyclopedia

(ii)

Cartography

(iii)

Atlas

(iv)

Diary
Q-2 The cardinal direction is

(i)

North

(ii)

South-east

(iii)

North-east

(iv)

South-west
Q-3 The drawing of the Earth on a flat surface is called a

(i)

Globe

(ii)

Map

(iii)

Symbol

(iv)

Sketch
Q-4 The science of making maps is called

(i)

Cartography

(ii)

Exploration

(iii)

Research

(iv)

Atlas
Chapter-30   Major Landforms
Q-1 Answer the following questions :
1. What is a mountain? How is it important?
2. What are the features of a plateau?
3. What are the features of a plain?
4. What is a desert?
Multiple Choice Questions
Q-1 A chain of mountains grouped together is known as a

(i)

Mountain ring

(ii)

Mountain chain

(iii)

Mountain range.
Q-2 A ....................... is also known as a tableland.

(i)

Plateau

(ii)

Deserts

(iii)

Plain
Q-3 A ................................ is the most populated place.

(i)

Desert

(ii)

Hill

(iii)

Plain
Q-4 A ....................... is also known as a tableland.

(i)

Plateau

(ii)

Deserts

(iii)

Plain
Q-5 A ................................ is the most populated place.

(i)

Desert

(ii)

Hill

(iii)

Plain
Chapter-31   Natural Resources
Q-1 Fill in the blanks
(a) Coal and petroleum are ... .... ... .... ....... .. resources.
(b) . ...................... is an inexhaustible resource.
(c) We should always keep the ....................... clean.
(d) The non-renewable natural resources are ....................... and ....................... .
Q-2 Answer the following questions :
1. What do you mean by a natural resource ?
2. What are renewable resources?
3. What are non-renewable resources?
4. How can we conserve natural resources?
Q-3 Fill in the blanks
(a) Coal and petroleum are ... .... ... .... ....... .. resources.
(b) . ...................... is an inexhaustible resource.
(c) We should always keep the ....................... clean.
(d) The non-renewable natural resources are ....................... and ....................... .
Multiple Choice Questions
Q-1 ....................... is a non-renewable resource.

(i)

Solar energy

(ii)

Petroleum

(iii)

Water
Q-2 Electricity can be generated using

(i)

Plants

(ii)

Animals

(iii)

Water
Q-3 The examples of natural resources that can be used directly are

(i)

Petrol and diesel

(ii)

Ores and minerals

(iii)

Air and water
Q-4 To protect our Earth we must preserve its

(i)

Fossils

(ii)

Industries

(iii)

Natural resources
Chapter-32   Climate
Q-1 Fill in the blanks
(a) The places near the sea coast have ____________ climate.
(b) Humidity is the _____________ present in the air.
(c) The places in the mountains have ___________ summers.
(d) The areas near the Poles are in the ________________ zone.
(e) The warm air is ____________ than the cold air.
Q-2 Write short answers :
1. Name the two countries, parts of which lie in the hot Torrid zones.
2. What do you call the people who study climate?
3. Name the three climatic zones.
4. Name the factors affecting the climate of a place.
Q-3 True Or False
(a) Weather keeps on changing.
(b) The Torrid zone is very cold.
(c) Humidity does not affect the climate of a place.
(d) As we go higher, it becomes cooler.
Q-4 Answer the following questions
1. What is the difference between weather and climate ?
2. Why are some areas very humid ?
3. To what extent does altitude influence the climate ?
4. How does the distance of a place from the sea affect its climate?
Multiple Choice Questions
Q-1 A person who studies the weather of the different parts of the Earth is known as a

(i)

Astronomer

(ii)

Climatologist

(iii)

Meteorologist

(iv)

Scientist
Q-2 Which gas is responsible for creating greenhouse effect?

(i)

Carbon dioxide

(ii)

Hydrogen

(iii)

Vapour

(iv)

Oxygen
Q-3 The basic factors that determine the weather of any place are

(i)

Population of area

(ii)

Humidity and winds

(iii)

Industrial development of place

(iv)

Atmospheric pressure and temperature
Q-4 On the basis of climatic conditions we can divide the Earth into ...................... climatic

(i)

Seven

(ii)

Five

(iii)

Three

(iv)

Four
Chapter-33   Land of Dense Forests (Zaire)
Q-1 Match the following
Q-2 Write short answers :
1. Name the capital of Zaire.
2. Which is the main river of Zaire?
3. Name the shortest tribal people in the world.
4. Name the official language of Zaire.
Q-3 Answer the following questions:
1. Why is Zaire known as "Heart of darkness"?
2. What are Zaire's chief resources?
3. What are the main crops grown in Zaire ?
4. Why is Zaire called the 'Natural zoo of the world'?
Multiple Choice Questions
Q-1 Area selected for hot and wet climate as sample study is

(i)

Amazon

(ii)

Democratic Republic of Congo

(iii)

Rawanda

(iv)

Uganda
Q-2 The tropical grasslands of Zaire are called

(i)

Evergreen forests

(ii)

Rainforests

(iii)

Savannah

(iv)

Heart of darkness
Q-3 Areawise, Zaire is 23.5 lac sq km. It is

(i)

7th largest in the world

(ii)

12th largest in the world

(iii)

3rd largest in Africa

(iv)

5th largest in Africa
Q-4 The Congo river is also known as

(i)

Highway of world

(ii)

Highway of central Africa

(iii)

Waterway of Africa

(iv)

Waterway of Europe
Q-5 The wildlife of Zaire contains species like

(i)

African elephants

(ii)

Rabbits and eagles

(iii)

Crocodiles, alligators, snakes, pythons

(iv)

Okapis, giraffes
Chapter-34   Land of Ice and Snow (Greenland-Frigid Zone)
Q-1 Write short answers :
1. Which is the largest island in the world ?
2. What is an iceberg ?
3. What do the Eskimos wear during the winter season ?
4. What are the main occupations of the people of Greenland ?
Q-2 Answer the following questions:
1. Why is the polar region called 'the land of the midnight sun' ?
2. How do the Eskimos protect themselves from the biting cold weather?
3. What is the location of Greenland?
4. What is an igloo?
5. How do the Eskimos hunt animals and fish?
6. Why is it not possible to grow many crops in Greenland?
7. What is a harpoon?
8. How is the lifestyle of the Eskimos changing?
Q-3 . Match the following :
Q-4 Fill in the blanks
(a) Greenland is under the control of______________.
(b) The Eskimos do not live in ______________ homes.
(c) The native people of Greenland are ___________.
(d) The sledges are pulled by _____________.
(e) _______________ is the capital of Greenland.
(f) Greenland was explored by a Norwegian explorer called______________.
Q-5 Answer the following questions:
1. Why is the polar region called 'the land of the midnight sun' ?
2. How do the Eskimos protect themselves from the biting cold weather?
3. What is the location of Greenland?
4. What is an igloo?
5. How do the Eskimos hunt animals and fish?
6. Why is it not possible to grow many crops in Greenland?
7. What is a harpoon?
8. How is the lifestyle of the Eskimos changing?
Multiple Choice Questions
Q-1 The regions around the North and South Poles are called

(i)

Frigid zone

(ii)

Tundra zone

(iii)

Polar zone

(iv)

Temperate zone
Q-2 The largest island on the earth is

(i)

Andaman and Nicobar

(ii)

Daman and Diu

(iii)

Greenland

(iv)

North America
Q-3 The Greenland was explored by

(i)

Vasco da Gama

(ii)

Columbus

(iii)

Erik, The Red

(iv)

Aristotle
Q-4 Boats used for hunting by the Eskimos are called

(i)

Umaiks

(ii)

Kayaks

(iii)

Yachts

(iv)

Cruises
Q-5 The regions around the North and South Poles are called

(i)

Frigid zone

(ii)

Tundra zone

(iii)

Polar zone

(iv)

Temperate zone
Q-6 The largest island on the earth is

(i)

Andaman and Nicobar

(ii)

Daman and Diu

(iii)

Greenland

(iv)

North America
Q-7 The Greenland was explored by

(i)

Vasco da Gama

(ii)

Columbus

(iii)

Erik, The Red

(iv)

Aristotle
Q-8 The main hunting weapon of the Inuits is

(i)

Gun

(ii)

Stone

(iii)

Parka

(iv)

Harpoon
Q-9 Motorized sledges used for travelling by the Eskimos are called

(i)

Umaik

(ii)

Skidoos

(iii)

Parka

(iv)

Kayak
Chapter-35   Life in Desert: Saudi Arabia
Q-1 Write short answers:
1. Which language is spoken by the people of Saudi Arabia?
2. What is a sand dune?
3. Name the two holy places of Saudi Arabia.
4. Name the capital of Saudi Arabia.
Q-2 Match the following:
Q-3 Fill in the blanks
(a) The ________________ of Saudi Arabia is hot and dry.
(b) Mecca and Medina are the places of ________________ of the ____ _
(c) The ______________ are the nomads of Saudi Arabia.
(d) The menfolk of Saudi Arabia wear long gowns called _______________.
(e) The Red Sea is to the _____________ of Saudi Arabia
(f) ______________ is the biggest desert in the world.
Q-4 Answer the following questions:
1. Where is Saudi Arabia located?
2. Why is the camel called the ship of the desert?
3. Describe the life of a Bedouin's family.
4. Why is petroleum called liquid gold?
5. What are the main activities of nomads?
Multiple Choice Questions
Q-1 In a desert some places have groundwater which surfaces to form. pools of water. They are called

(i)

Sand dunes

(ii)

Wadis

(iii)

Oases

(iv)

Pools land
Q-2 Which mineral resource has changed the standard of life in Arab countries?

(i)

Iron

(ii)

Salt

(iii)

Manganese

(iv)

Crude oil
Q-3 The different types of deserts are

(i)

Cold deserts

(ii)

Hot deserts

(iii)

Plain deserts

(iv)

Sea deserts
Q-4 The largest Arab country in the Middle East is

(i)

Kuwait

(ii)

Saudi Arabia

(iii)

Oman

(iv)

Bahrain
Q-5 Which animal is called 'the ship of the desert'?

(i)

Ox

(ii)

Camel

(iii)

Horse

(iv)

Sheep
Chapter-36   Temperate Grasslands: Prairies
Q-1 Fill in the blanks
(a) The grasslands are called the ____________ in South America.
(b) The production of ____________ is very high in the northern Prairies.
(c) The Prairies are in the _____________ zone.
(d) Some farmers have their private _____________.
(e) _____ is the trade centre for the export of _______________.
(f) The farms where cattle are reared are called______________·
Q-2 Write short answers:
1. Which main rivers flow through the Prairies?
2. What is a ranch?
3. Name the major crops grown in the Prairies.
4. Name the big storage facility used for foodgrains.
Q-3 Answer the following questions:
1. In which countries are the Prairies found?
2. Why are the Prairies called the 'Wheat basket of the world'?
3. What crops are being cultivated in the Prairies?
4. What is a ranch?
5. Name the things that are exported from the Prairies.
Multiple Choice Questions
Q-1 The Prairie region is called the

(i)

Bread of the world

(ii)

Wheat basket of the world

(iii)

Bread Basket of the world
Q-2 Which animal once grazed freely in the Prairies?

(i)

Buffalo

(ii)

Bison

(iii)

Horse
Q-3 The grasslands of Australia are called

(i)

Steppes

(ii)

Velds

(iii)

Downs
Q-4 The farmhouses are called

(i)

Homesteads

(ii)

Silos

(iii)

Estancias
Chapter-37   Conquering Distances
Q-1 Write short answers:
1. Which is regarded as the turning point in the world of transport?
2. Which is the fastest means of transport?
3. Who invented the aeroplane?
Q-2 Answer the following questions:
1. What brought about a revolution in transport-the wheel or the steam engine?
2. What are freeways or highways?
3. Name the four major ports of India.
4. Which means of transport carries heavy cargo?
Q-3 True Or False
(a) Tankers are special ships that carry oil.
(b) Animals were earlier used as the beasts of burden.
(c) Ships are faster than aeroplanes.
(d) Highways and freeways are used by fast-moving traffic.
(e) The first railway line was laid in India in 1853.
Q-4 Match the following:
Multiple Choice Questions
Q-1 Who invented the Steam Engine?

(i)

Alexander Bell

(ii)

James Watt

(iii)

Wright Brothers
Q-2 The Panama Canal joins

(i)

the Atlantic Ocean with the Indian Ocean

(ii)

the Atlantic Ocean with the Pacific Ocean

(iii)

the Pacific Ocean with the Arctic Ocean
Q-3 The Suez Canal joins the Red Sea with the

(i)

Baltic Sea

(ii)

Caspian Sea

(iii)

Mediterranean Sea
Q-4 The international airport of London is called

(i)

Heathrow

(ii)

John F. Kennedy

(iii)

Durban
Chapter-38   Trees Around the World
Q-1 These are national trees of some countries. Write their names. Choose from the Help Box.
Chapter-39   Beauty of Nature
Q-1 Name the states in which the following hill stations are located.
Chapter-40   Monuments of India
Q-1 Identify the monuments and write their names with the help of the Help Box.
Chapter-42   Gymnastics
Q-1 One Word Answer
(a) A female gymnast swings on the high bar towards the low bar and releases the grip at the top of her swing. She then performs a back flip and catches the low bar.
(b) A routine of dance–like movements with acrobatic skills, performed without an apparatus on a 12 m square mat.
(c) . In this, a male gymnast grips the rings straight out on either side of the body, his body and his arms being perpendicular.
(d) A routine performed on a leather–covered apparatus, in the centre of which are inserted two wooden pommels or handles.
(e) It is performed on uneven bars, high bars and parallel bars. In this, the gymnast jumps to a bar, swings the legs forward and lifts them and the body up to the bar.
Q-2 One Word Answer
(a) A female gymnast swings on the high bar towards the low bar and releases the grip at the top of her swing. She then performs a back flip and catches the low bar.
(b) A routine of dance–like movements with acrobatic skills, performed without an apparatus on a 12 m square mat.
(c) . In this, a male gymnast grips the rings straight out on either side of the body, his body and his arms being perpendicular.
(d) A routine performed on a leather–covered apparatus, in the centre of which are inserted two wooden pommels or handles.
(e) It is performed on uneven bars, high bars and parallel bars. In this, the gymnast jumps to a bar, swings the legs forward and lifts them and the body up to the bar.
Chapter-43   Sports Brain Twister
Multiple Choice Questions
Q-1 The term ‘Castling’ is associated with

(i)

Chess

(ii)

Boxing
Q-2 The term ‘Ace’ is associated with

(i)

Tennis

(ii)

Athletics
Q-3 The term ‘Scoop’ is associated with

(i)

Wrestling

(ii)

Hockey
Q-4 The term ‘Hit Wicket’ is associated with

(i)

Cricket

(ii)

Football
Q-5 The term ‘Jab’ is associated with

(i)

Boxing

(ii)

Carrom
Q-6 The term ‘Free Kick’ is associated with

(i)

Tennis

(ii)

Football
Q-7 The term ‘Clean and Jerk’ is associated with

(i)

Weightlifting

(ii)

Kabaddi
Q-8 The term ‘Fault’ is associated with

(i)

Tennis

(ii)

Bowling
Q-9 The term ‘Castling’ is associated with

(i)

Chess

(ii)

Boxing
Q-10 The term ‘Ace’ is associated with

(i)

Tennis

(ii)

Athletics
Q-11 The term ‘Scoop’ is associated with

(i)

Wrestling

(ii)

Hockey
Q-12 The term ‘Hit Wicket’ is associated with

(i)

Cricket

(ii)

Football
Q-13 The term ‘Jab’ is associated with

(i)

Boxing

(ii)

Carrom
Q-14 The term ‘Free Kick’ is associated with

(i)

Tennis

(ii)

Football
Q-15 The term ‘Offside’ is associated with

(i)

Table Tennis

(ii)

Football
Q-16 The term ‘Serve’ is associated with

(i)

Table Tennis

(ii)

Wrestling
Q-17 The term ‘Jockey’ is associated with

(i)

Horse Riding

(ii)

Kho-Kho
Chapter-44   Idioms
Q-1 Now match these idioms with their meanings.
Chapter-45   Homophones
Q-1

Homophones are the words that have exactly the same sound but different meanings and spellings. Write the correct word for each clue :

Chapter-48   Recalling the UNO
Q-1 Answer the following questions
1. When did the UNO come into being?
2. What is the discussion body of the UNO the that consists of all the member states called?
3. Name any one official language of the UN.
4. Where is the headquarter of the UNO located?
5. How many meetings of the UN General Assembly take place in a year generally?
6. Which UN body is basically responsible for the maintenance of peace and security in the world?
7. Economic and Social Council of the United Nations is known as:
8. How many countries are the permanent members of the Security Council?
9. Who was the first Secretary-General of the UNO?
10. What is the official head of the UNO called?
Chapter-49   They are known as.
Q-1 Write the letters in the correct boxes to match these people with their sobriquets or the names by which they are also known